In neutron logging, three processes are essential:

Neutron Emission:
Neutron Scattering:
Energy loss per collision depends on the target nucleus's relative mass and the scattering cross section.
Efficiency of hydrogen, silicon, and oxygen atoms in slowing down fast neutrons in a clean sandstone (φ = 0.15).
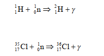
Neutron Absorption:

Neutron logs are primarily used for:

The amount of energy lost at each collision depends on the relative mass of the target nucleus and the scattering cross section.
Note: Hydrogen plays a crucial role in slowing down neutrons due to its similar size, causing significant energy loss during collisions.
There are three main types of neutron tools:
Gamma Ray/Neutron Tool (GNT):
Sidewall Neutron Porosity Tool (SNP):

Compensated Neutron Log (CNL):
This tool combines responses from multiple detectors to compensate for lithology and matrix density effects:
